Notice
Recent Posts
Recent Comments
Link
일 | 월 | 화 | 수 | 목 | 금 | 토 |
---|---|---|---|---|---|---|
1 | 2 | 3 | 4 | |||
5 | 6 | 7 | 8 | 9 | 10 | 11 |
12 | 13 | 14 | 15 | 16 | 17 | 18 |
19 | 20 | 21 | 22 | 23 | 24 | 25 |
26 | 27 | 28 | 29 | 30 | 31 |
Tags
- 파워서플라이
- 양산조립PC
- 그래픽카드
- 조립pc
- 양산컴퓨터수리
- 데이터복구
- 하드복구
- SSD
- MES
- 노트북수리
- 모니터판매
- 모니터
- 컴퓨터수리
- 메인보드
- 중고컴퓨터수리
- 양산컴퓨터조립
- 스피커
- 조립컴퓨터
- 케이스
- USB복구
- 컴퓨터조립
- 모니터수리
- 노트북
- 게임
- 바이러스
- 양산조립컴퓨터
- 중고컴퓨터판매
- 컴퓨터업그레이드
- 하드디스크
- 스마트공장
Archives
- Today
- Total
엠엔디시스템 (시스템개발문의: 055-385-4832)
전력 계산의 기본 본문
1. 피상전력 , 유효전력, 무효전력, 역률, 수용률, 부등률
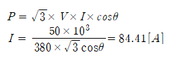
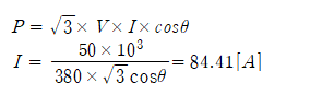
2. 3상380V 50Kw 부하의 전력의 전류 계산 방식
역률은 90% 적용
배선용차단기는 100[A] 로 선정